Force
It is the force that enables us to do any work.
To do anything, either we pull or push the object. Therefore, pull or push is called force.
Example – to open a door, either we push or pull it. A drawer is pulled to open and pushed to close.
Effect of Force:
Force can make a stationary body in motion. For example a football can be set to move by kicking it, i.e. by applying a force.
Force can stop a moving body – For example by applying brakes, a running cycle or a running vehicle can be stopped.
Force can change the direction of a moving object. For example; By applying force, i.e. by moving handle the direction of a running bicycle can be changed. Similarly by moving steering the direction of a running vehicle is changed.
Force can change the speed of a moving body – By accelerating, the speed of a running vehicle can be increased or by applying brakes the speed of a running vehicle can be decreased.
Force can change the shape and size of an object. For example -– By hammering, a block of metal can be turned into a thin sheet. By hammering a stone can be broken into pieces.
Forces are mainly of two types:
- Balanced Forces
- Unbalanced Forces
Balanced Forces
If the resultant of applied forces is equal to zero, it is called balanced forces.
Example : – In the tug of war if both the teams apply similar magnitude of forces in oppoisite directions, rope does not move in either side. This happens becasue of balanced forces in which resultant of applied forces become zero.
Balanced forces do not cause any change of state of an object. Balanced forces are equal in magnitude and opposite in direction.
Balanced forces can change the shape and size of an object. For example – When forces are applied from both sides over a balloon, the size and shape of balloon is changed.
Unbalanced Forces
If the resultant of applied forces are greater than zero the forces are called unbalanced forces. An object in rest can be moved because of applying balanced forces.
Unbalanced forces can do the following:
- Move a stationary object.
- Increase the speed of a moving object.
- Decrease the speed of a moving object.
- Stop a moving object.
- Change the shape and size of an object.
Laws of Motion:
Galileo Galilei: Galileo first of all said that object move with a constant speed when no forces act on them. This means if an object is moving on a frictionless path and no other force is acting upon it, the object would be moving forever. That is there is no unbalanced force working on the object.
But practically it is not possible for any object. Because to attain the condition of zero unbalanced force is impossible. Force of friction, force air and many other forces always acting upon an object.
Newton’s Laws of Motion:
Newton studied the ideas of Galileo and gave the three laws of motion. These laws are known as Newton’s Laws of Motion.
- Newton’s First Law of Motion – Any object remains in the state of rest or in uniform motion along a straight line, until it is compelled to change the state by applying external force.
- Newton’s Second Law of Motion – The rate of change of momentum is directly proportional to the force applied in the direction of force.
- Newton’s Third Law of Motion – There is an equal and opposite reaction for evrey action
Newton’s First Law of Motion:
Any object remains in the state of rest or in uniform motion along a straight line, until it is compelled to change the state by applying external force.
Explanation: If any object is in the state of rest, then it will remain in rest untill a exernal force is applied to change its state. Similarly an object will remain in motion untill any exeternal force is applied over it to change its state. This means all objects resist to in changing their state. The state of any object can be changed by applying external forces only.
Newton’s First Law of Motion in Everyday Life:
- A person standing in a bus falls backward when bus is start moving suddenly. This happens because the person and bus both are in rest while bus is not moving, but as the bus starts moving the legs of the person start moving along with bus but rest portion of his body has tendency to remain in rest. Because of this person falls backward; if he is not alert.
- A person standing in a moving bus falls forward if driver applies brakes suddenly. This happens because when bus is moving, the person standing in it is also in motion along with bus. But when driver applies brakes the speed of bus decreases suddenly or bus comes in the state of rest suddenly, in this condition the legs of the person which are in the contact with bus come in rest while the rest parts of his body have tendency to remain in motion. Because of this person falls forward if he is not alert.
- Before hanging the wet clothes over laundry line, usually many jerks are given to the cloths to get them dried quickly. Because of jerks droplets of water from the pores of the cloth falls on the ground and reduced amount of water in clothes dried them quickly. This happens because, when suddenly cloth are made in motion by giving jerks, the water droplets in it have tendency to remain in rest and they are separated from cloths and fall on the ground.
- When the pile of coin on the carom-board hit by a striker; coin only at the bottom moves away leaving rest of the pile of coin at same place. This happens because when the pile is struck with a striker, the coin at the bottom comes in motion while rest of the coin in the pile has tendency to remain in the rest and they vertically falls the carom board and remain at same place.
- Seat belts are used in car and other vehicles, to prevent the passengers being thrown in the condition of sudden braking or other emergency. In the condition of sudden braking of the vehicles or any other emergency such as accident, the speed of vehicle would decrease or vehicle may stop suddenly, in that condition passengers may be thrown in the direction of the motion of vehicle because of the tendency to remain in the state of motion.
- The head of hammer is tightened on a wooden handle by banging the handle against a hard surface. When handle of the hammer is struck against a surface, handle comes in rest while hammer over it’s head has tendency to remain in motion and thus after some jerks it tightens over the handle.
Mass and Inertia:
The property of an object because of which it resists to get disturbed its state is called Inertia. Inertia of an object is measured by its mass. Intertia is directly proportional to the mass. This means inertia increases with increase in mass and decreases with decrease in mass. A heavy object will have more inertia than lighter one.
In other words, the natural tendecny of an object that resists the change in state of motion or rest of the boject is called intertia.
Since a heavy object has more intertia, thus it is difficult to push or pul a heavy box over the ground than lighter one.
MOMENTUM
Momentum is the power of motion of an object.
The product of velocity and mass is called the momentum. Momentum is denoted by ‘p’.
Therefore, momentum of the object = Mass x Velocity.
Or, p = m x v
Where, p = momentum, m = mass of the object and v = velocity of the object.
Consider the following explanations to understand the momentum:
A person get injured in the case of hitting by a moving object, such as stone, pebbles or anything because of momentum of the object.
Even a small bullet is able to kill a person when it is fired from a gun becasue of its momentum due to great velocity.
A person get injured severely when hit by a moving vehicles, becasue of momentum of vehicle due to mass and velocity.
Momentum and Mass and Velocity:
Since, momentum is the product of mass and velocity (p = m x v) of an object. This means momentum is directly proportional to mass and velocity. Momentum increases with increase of either mass or velocity of an object.
This means if a lighter and a heavier object is moving with same velocity, then heavier object will have more momentum than lighter one.
If a small object is moving with great velocity, it has tremendous momentum. And because of momentum, it can harm an object more severely. For example a small bullet having a little mass even kills a person when it is fired from a gun.
Usually, road accidents prove more fatal because of high speed than in slower speed. This happens because vehicles running with high speed have greater momentum compare to a vehicle running with slower speed.
Momentum of an which is in the state of rest:
Let an object with mass ‘m’ is in the rest.
Since, object is in rest, therefore, it’s velocity, v = 0
Now, we know that,
Momentum = mass x velocity
Or, p = m x 0 = 0
Thus, the momentum of an object in the rest, i.e. non-moving,is equal to zero.
Unit of momentum:
The SI unit of mass = kg
The SI unit of velocity = meter per second i.e. m/s
We know that, momentum (p) = m x v
Therefore,
p = kg x m/s
Or, p = kg m/s
Therefore, SI unit of momentum = kg m/s
Momentum
Numertical Problems Based on Momentum
Type – I – (Calculation of Momentum)
Question:- 1 – What will be the momentum of a stone having mass of 10 kg when it is thrown with a velocity of 2m/s?
Solution:-
Given,
Mass (m) = 10kg
Velocity (v) = 2m/s
Momentum (p) =?
We know that, Momentum (p) = Mass (m) x Velocity (v)
Therefore, p = 10kg x 2 m/s = 20 kg m/s
Thus the momentum of the stone = 20 kg m/s.
Question: 2 – Calculate the momentum of a bullet of 25 g when it is fired from a gum with a velocity of 100m/s.
Solution:
Given,
Velocity of the bullet (v) = 100m/s
Mass of the bullet (m) = 25 g = 25/1000 kg = 0.025kg
Momentum (p) =?
Or, p = 2.5 kg m/s
Thus the momentum of the bullet = 2.5 kg m/s
Question: 3 – Calculate the momentum of a bullet having mass of 25 g is thrown using hand with a velocity of 0.1 m/s.
Solution:
Given,
Velocity of the bullet (v) = 0.1m/s
Mass of the bullet (m) = 25 g = 25/1000 kg = 0.025kg
Momentum (p) =?
We know that, Momentum (p) = Mass (m) x Velocity (v)
Therefore, p = 0.025 kg x 0.1 m/s
Or, p = 0.0025 kg m/s
Thus the momentum of the bullet = 0.0025 kg m/s
Question: 4 – The mass of a goods lorry is 4000 kg and the mass of goods loaded on it is 20000 kg. If the lorry is moving with a velocity of 2m/s what will be its momentum?
Solution:
Given,
Velocity (v) = 2m/s
Mass of lorry = 4000 kg, Mass of goods on the lorry = 20000 kg
Therefore, total mass (m) of the lorry = 4000 kg + 20000 kg = 24000 kg
Momentum (p) =?
We know that, Momentum (p) = Mass (m) x Velocity (v)
Therefore,
p = 24000 kg x 2 m/s = 48000 kg m/s
Thus, momentum of the lorry = 48000 kg m/s
Question: 5 – A car having mass of 1000 kg is moving with a velocity of 0.5m/s. What will be its momentum?
Solution:
Given,
Velocity of the bullet (v) = 0.5m/s
Mass of the bullet (m) = 1000 kg
Momentum (p) =?
We know that, Momentum (p) = Mass (m) x Velocity (v)
Therefore, p = 1000 kg x 0.5 m/s
Or, p = 500 kg m/s
Thus the momentum of the bullet = 500 kg m/s
Type – II (Calculation of Mass)
Question: 1 – A vehicle is running with a velocity of 5m/s. If the momentum of the vehicle is 5000 kg m/s, what is its mass?
Solution:
Given,
Momentum (p) = 5000 kg m/s
Velocity (v) = 5m/s
Mass (m) =?
We know that, Momentum (p) = Mass (m) x Velocity (v)
Therefore, 5000 kg m/s = m × 5m/s

Thus, mass of the vehicle = 1000 kg
Question: 2 – A stone attains a momentum of 1 kg m/s when it flies with a velocity of 2m/s, then what will be mass of the stone?
Solution:
Given,
Momentum (p) = 1 kg m/s
Velocity (v) = 2m/s
Mass (m) =?
We know that, Momentum (p) = Mass (m) x Velocity (v)
Therefore, 1 kg m/s = m × 2m/s

Thus, mass of the stone = 0.5 kg or 500 g
Question: 3 – When a bullet is fired from a rifle its momentum become 20 kg m/s. If the velocity of the bullet is 1000m/s what will be its mass?
Solution:
Given,
Momentum (p) = 20 kg m/s
Velocity (v) = 1000m/s
Mass (m) =?
We know that, Momentum (p) = Mass (m) x Velocity (v)
Therefore, 20 kg m/s = m × 1000m/s

Thus, mass of the bullet = 20 g
Question: 4 – When a missile is fired from a tank it gets a momentum of 2000 kg m/s. If the velocity of the missile is 50m/s what will be its mass?
Solution:
Given,
Momentum (p) = 2000 kg m/s
Velocity (v) = 50m/s
Mass (m) =?
We know that, Momentum (p) = Mass (m) x Velocity (v)
Therefore, 2000 kg m/s = m × 50 m/s

Thus, mass of the missile = 40 kg
Question: 5 – A bird is flying with a velocity of 3 m/s. If the momentum of the bird is 3.60 kg m/s what is its mass?
Solution:
Given,
Momentum (p) = 3.60 kg m/s
Velocity (v) = 3 m/s
Mass (m) =?
We know that, Momentum (p) = Mass (m) x Velocity (v)
Therefore, 3.60 kg m/s = m × 3 m/s

Thus, mass of the bird = 1 kg 200 g
Type – III (Calculation of velocity)
Question: 1 – If the momentum of a flying brick is 50 kg m/s and its mass is 10 kg. Calculate its velocity?
Solution:
Given,
Momentum (m) = 50kg m/s
Mass (m) = 10kg
Velocity (v) =?
We know that,
Momentum (p) = Mass (m) x Velocity (v)
⇒ 50 kg m/s = 10kg × v

Thus, velocity of the brick = 5m/s
Question: 2 – A bullet of 25 g is when fired from a piston gets a momentum of 50 kg m/s. Calculate the velocity of bullet.
Solution:
Given,
Momentum (m) = 50kg m/s
Mass (m) = 25 g = 25/1000 kg = 0.025 kg
Velocity (v) =?
We know that,
Momentum (p) = Mass (m) x Velocity (v)
⇒ 50 kg m/s = 0.025 kg × v

Thus, velocity of the bullet = 2000 m/s
Question: 3 – A vulture when flying with a velocity ‘v’ attains a momentum of 20 kg m/s. If the mass of the vulture is 25 kg what is the value of ‘v’?
Solution:
Given,
Momentum (m) = 20 kg m/s
Mass (m) = 25 kg
Velocity (v) =?
We know that, Momentum (p) = Mass (m) x Velocity (v)
⇒ 20 kg m/s = 25 kg × v

Thus, velocity of the vulture = 0.8 m/s
Question: 4 – A brick after falling from a hill collide with ground with a momentum of 100 kg m/s. If the mass of the brick is 5 kg what was its velocity while colliding with the ground?
Solution:
Given,
Momentum (m) = 100kg m/s
Mass (m) = 5kg
Velocity (v) =?
We know that,
Momentum (p) = Mass (m) x Velocity (v)
⇒ 100 kg m/s = 5kg × v

Thus, velocity of the brick = 20 m/s
Question: 5 – Calculate the velocity of a missile having mass of 100 kg, if it attains a momentum of 5000 kg m/s when fired from a rocket gun?
Solution:
Given,
Momentum (m) = 5000kg m/s
Mass (m) = 100kg
Velocity (v) =?
We know that, Momentum (p) = Mass (m) x Velocity (v)
⇒ 5000 kg m/s = 100kg × v

Thus, velocity of the missile = 50 m/s
Newton’s Second Law of Motion
Newton’s second Law of Motion states that The rate of change of momentum is directly proportional to the force applied in the direction of force.
For example; when acceleration is applied on a moving vehicle, the momentum of the vehicle increases and the increase is in the direction of motion because the force is being applied in the direction of motion. On the other hand, when brake is applied on the moving vehicle, the momentum of the vehicle decreases and the decrease is in the opposite direction of motion because the force is being applied in the opposite direction of motion.
Mathematical formulation of Newton’s Second Law of Motion:
Let mass of an moving object = m.
Let the velocity of the object changes from ‘u’ to ‘v’ in the interval of time ‘t’.
This means,
Initial velocity of the object = u.
Final velocity of the object = v.
We know that momentum (p) = Mass x velocity
Therefore,
Momentum (p) of the object at its initial velocity u = m x u = mu
Momentum (p) of the object at its final velocity v = m x v = mv
The change in momentum = mv – mu

According to the Newton’s Second Law of motion force is directly proportional to the rate of change of momentum.
This means, Force ∝ Rate of change of moentum
After substituting the value of rate of change of momentum from equation (i) we get.

Where,
a = acceleration, u = initial velocity, v = final velocity, and t = time taken to change in velocity
By substituting the value from equation (iii) in equation (ii) we get
⇒ F ∝ m.a
⇒ F = k.m.a——-(iv)
Where, k is proportionality constant.
Since, 1 unit force is defined as the mass of 1kg object produces the acceleration of 1m/s2
Therefore, 1 unit of Force = k x 1 kg x 1m/s2
Thus k = 1.
By substituting the value of ‘k = 1’ in equation (iv) we get
F = m.a———-(v)
⇒ Force = mass × acceleration
Thus Newton’s Second Law of Motion gives the relation between force, mass and acceleration of an object.
According to the relation obtained above, Newton’s Second Law can be modified as follows:
The product of mass and acceleration is the force acting on the object.
The SI unit of Force: Newton (N)
Since Force = Mass x Acceleration
The unit of mass = kg and The unit of acceleration = m/s2
If force, mass and acceleration is taken as 1 unit.
Therefore,
1 Newton (N) = 1kg x 1m/s2
Thus, Newton (N) = kg m/s2
Equation (v) can be also written as

This equation is the form of Newton’s Second Law of Motion. According to this equation, Newton’s Second Law of Motion can also be stated as follow:
The acceleration produced by a moving body is directly proportional to the force applied over it and inversely proportional to the mass of the object.
From the above relation it is clear that
Acceleration increases with increase in force and vice versa.
Acceleration decreases with increase in mass and vice versa.
That’s why a small vehicle requires less force to attain more acceleration while a heavy vehicle requires more force to get the same acceleration.
Newton’s Second Law of Motion in everyday life:
(a) A fielder pulls his hand backward; while catching a cricket ball coming with a great speed, to reduce the momentum of the ball with a little delay. According to Newton’s Second Law of Motion; rate of change of momentum is directly proportional to the force applied in the direction.
While catching a cricket ball the momentum of ball is reduced to zero when it is stopped after coming in the hands of fielder. If the ball is stopped suddenly, its momentum will be reduced to zero instantly. The rate of change in momentum is very quick and as a result, the player’s hand may get injured. Therefore, by pulling the hand backward a fielder gives more time to the change of momentum to become zero. This prevents the hands of fielder from getting hurt.
(b) For athletes of long and high jump sand bed or cushioned bed is provided to allow a delayed change of momentum to zero because of jumping of athlete.
When an athlete falls on the ground after performing a high or long jump, the momentum because of the velocity and mass of the athlete is reduced to zero. If the momentum of an athlete will be reduced to zero instantly, the force because of momentum may hurt the player. By providing a cushioned bed, the reduction of the momentum of the athlete to zero is delayed. This prevents the athlete from getting hurt.
(c) Seat belts in car – Seat belts in the vehicles prevent the passenger from getting thrown in the direction of motion. In case of emergency, such as accidents or sudden braking, passengers may be thrown in the direction of motion of vehicle and may get fatal injuries. The stretchable seat belts increase the time of the rate of momentum to be reduced to zero. The delayed reduction of momentum to zero prevents passengers from such fatal injury.
Newton’s Second Law of Motion
Numerical Problems Based on Newton’s Second Law of Motion – 1
Type – 1 :-
Question – 1 – Calculate the force needed to speed up a car with a rate of 5ms-2, if the mass of the car is 1000 kg.
Solution:
According to questions:
Acceleration (a) = 5m/s2 and Mass (m) = 1000 kg, therefore, Force (F) =?
We know that, F = m x a
= 1000 kg x 5m/s2
= 5000 kg m/s2
Therefore, required Force = 5000 m/s2 or 5000 N
Question – 2- If the mass of a moving object is 50 kg, what force will be required to speed up the object at a rate of 2ms-2?
Solution:-
According to the question,
Acceleration (a) = 2ms-2 and Mass (m) = 50 kg, therefore, Force (F) =?
We know that, F = m x a
= 50 kg x 2m/s2
= 100 kg m/s2
Therefore, required Force = 100 m/s2 or 100 N
Question – 3 – To accelerate a vehicle to 3m/s2 what force will be needed if the mass of the vehicle is equal to 100 kg?
Solution:
According to the question,
Acceleration (a) = 3m/s2 and Mass (m) = 100 kg, therefore, Force (F) =?
We know that, F = m x a
= 100 kg x 3m/s2
= 300 kg m/s2
Therefore, required Force = 300 m/s2 or 300 N
Type -II
Question -1 – To accelerate an object to a rate of 2m/s2, 10 N force is required. Find the mass of object.
Solution:
According to the question:
Acceleration (a) = 2m/s2, Force (F) = 10N, therefore, Mass (m) = ?
We know that, F = m x a

Thus, the mass of the object = 5 kg
Question – 2 – If 1000 N force is required to accelerate an object to the rate of 5m/s2, what will be the weight of the object?
Solution:
According to the question,
Acceleration (a) = 2m/s2, Force (F) = 1000N, therefore, Mass (m) = ?
We know that, F = m x a

Thus, the mass of the object = 200 kg
Question – 3 – A vehicle accelerate at the rate of 10m/s2 after the applying of force equal to 50000 N. Find the mass of the vehicle.
Solution:
According to the question,
Acceleration (a) = 10 m/s2, Force (F) = 50000N, therefore, Mass (m) = ?
We know that, F = m x a

Thus, the mass of the vehicle = 5000 kg
Type – III
Question – 1 – What the acceleration a vehicle having 1000 kg of mass will get after applying a force of 5000N?
Solution:
According to question:
Mass (m) = 1000 kg, Force (F) = 5000N, Acceleration (a) =?
We know that, Force = Mass x Acceleration or F = m x a
Therefore,

Thus acceleration of the vehicle = 5 ms-2
Question – 2 – After applying a force of 1000 N an object of mass 2000 kg will achieve what acceleration?
Solution:
According to the question,
Mass (m) = 2000 kg, Force (F) = 1000N, Acceleration (a) =?
We know that, Force = Mass x Acceleration or F = m x a
Therefore,

Thus acceleration of the vehicle = 0.5 ms-2
Question – 3 – An object requires the force of 100N to achieve the acceleration ‘a’. If the mass of the object is 500 kg what will be the value of ‘a’?
Solution:
According to the question,
Mass (m) = 500 kg, Force (F) = 100N, Acceleration (a) =?
We know that, Force = Mass x Acceleration or F = m x a
Therefore,

Thus acceleration of the vehicle = 0.2 ms-2
Newton’s Second Law of Motion
Numerical Problems Based on Newton’s Second Law of Motion – 2
Type – IV
Question – 1- An object of 50 kg gets the speed of 10m/s in 5 second from zero velocity. Calculate the required force applied by engine of the car.
Solution:
According to the question:-
Initial velocity (u) = 0, final velocity (v) = 10m/s, time (t) = 5 second, Mass (m) = 50 kg,
Therefore, force (F)=?

⇒ 100kg ms-2 ⇒ 100 N
Thus required force = 100 N
Question – 2 – A car having mass of 1500 kg achieve the velocity of 5 m/s in 10 second. Calculate the required force to attain required speed by car.
Solution:
According to the question:
Initial velocity (u) = 0, final velocity (v) = 5m/s, time (t) = 10 second, Mass (m) = 1500 kg,
Therefore, force (F)=?

⇒ 750 kgms-2 or 750 N
Thus required force = 750 N
Question – 3 – A bus starts from the stop and take 50 second to get the speed of 10m/s. If the mass of the bus along with passengers is 10000 kg, calculate the force applied by the engine of bus to push the bus at the speed of 10m/s.
Solution:
According to the question:
Initial velocity (u) = 0, final velocity (v) = 10m/s, time (t) = 50 second, Mass (m) = 10000 kg,
Therefore, force (F)=?

⇒ 2000 kgms-2 or, 2000 N
Thus required force = 2000 N
Question – 4 – An object gets 20 second to increase the speed from 10m/s to 50m/s. If the mass of the object is 1000 kg, what force will be required to do so?
Solution:
According to the question:
Initial velocity (u) = 10m/s, final velocity (v) = 50m/s, time (t) = 20 second, Mass (m) = 1000 kg,
Therefore, force (F)=?

⇒ 20 kg ×40 ms-2 ⇒800 kgms-2 or 800 N
Thus required force = 800 N
Question – 5 – What force will be required to speed up a car having mass of 1200kg, from 5 m/s to 15m/s in 10 second?
Solution:
According to the question:-
Initial velocity (u) = 5m/s, final velocity (v) = 15m/s, time (t) = 10 second, Mass (m) = 1200 kg,
Therefore, force (F)=?

⇒ 1200 kg ×1 ms-2 ⇒1200 kgms-2 or 1200 N
Thus required force = 1200 N
Question – 6 – In how much time an object having mass of 100kg will speed up from 5m/s to 25m/s, if 500N force will be applied over it?
Solution:
According to the question:
Initial velocity (u) = 5m/s, final velocity (v) = 25m/s, Mass (m) = 100 kg, Force (F) = 500N
Therefore, time (t) = ?

Thus required time = 4 second
Question – 7 – If a force of 1000 N is applied over a vehicle of 500 kg, then in how much time the speed of the vehicle will increase from 2 m/s to 10 m/s?
Solution:
According to the question:
Initial velocity (u) = 2m/s, final velocity (v) = 10m/s, Mass (m) = 500 kg, Force (F) = 1000N
Therefore, time (t) =?

Thus required time = 4 second
Question – 8 – A vehicle having mass equal to 1000 kg is running with a speed of 10m/s. After applying the force of 1000N for 10 second what will be the speed of vehicle?
According to the question:
Mass of (m) = 1000 kg, Force, (F) = 1000 N, time (t) = 10s, Initial velocity (u) = 5m/s
Therefore, Final velocity (v) =?

⇒ 1000 kg m/s2 × 10s = 1000 kg (v – 5m/s)
⇒ 10000 kg m/s = 1000 kg × v – 5000 kg m/s
⇒ 10000 kg m/s + 5000kg m/s = 1000kg × v
⇒ 15000 kgm/s = 1000 kg × v

Thus, the velocity of the vehicle will be 15m/s.
Question – 9 – An object gets the velocity of 10 m/s after applying a force of 500N for 5 second. If the mass of the object is equal to 1000 kg, what was its velocity before applying the force?
Solution:
According to the question:
Mass (m) = 1000 kg, Force (F) = 500N, time (t) = 10m/s, Final velocity (v) = 10m/s
Therefore, Initial velocity (u) =?


⇒ 500 kg ms-2 × 10s = 10000 kg ms-1-1000 kg × u
⇒ 5000 kg m/s = 10000 kg m/s – 1000 kg × u
⇒ 5000 kg m/s – 10000 kg m/s = -1000 kg × u
⇒ -5000kg m/s = -1000 kg × u

Thus speed of object was 5m/s
Type – V –
Question – 1- The acceleration of two objects are 5m/s2 and 20m/s2. If mass of both the object would be combined and a force of 50N would be applied on them, what will be their acceleration?
Solution:
In the order to calculate the acceleration of both the objects after combining their mass, first of all their mass will be calculated.
Ist object:
Given, Acceleration (a) = 20m/s2
Let the mass of one body = m1
And a force of 50N will be applied over it.
We know that Force (F) = Mass (m) x Acceleration (a)
⇒ 50N = m1 × 5ms-2

2nd Object:
Given, Acceleration (a) = 20m/s2
Let the mass of one body = m2
And a force of 50N will be applied over it.
We know that Force (F) = Mass (m) x Acceleration (a)
⇒ 50N = m2 × 5 ms-2

Now their total mass = m1 + m2 = 10 kg + 2.5 kg = 12.5 kg
In this condition:
Mass (m) = 12.5 kg, Force (F) = 50N, therefore, Acceleration (a) =?
We know that, F = m x a

Therefore, 50N = 12.5kg × a
Thus, Acceleration = 4 ms-2
Newton’s Third Law of Motion
Newton’s Third Law of Motion states that there is always reaction for every action in opposite direction and of equal magnitude.
Explanation: Whenever a force is applied over a body, that body also applies same force of equal magnitude and in opposite direction.
Example –
(a) Walking of a person – A person is able to walk because of the Newton’s Third Law of Motion. During walking, a person pushes the ground in backward direction and in the reaction the ground also pushes the person with equal magnitude of force but in opposite direction. This enables him to move in forward direction against the push.
(b) Recoil of gun – When bullet is fired from a gun, the bullet also pushes the gun in opposite direction, with equal magnitude of force. This results in gunman feeling a backward push from the butt of gun.
(c) Propulsion of a boat in forward direction – Sailor pushes water with oar in backward direction; resulting water pushing the oar in forward direction. Consequently, the boat is pushed in forward direction. Force applied by oar and water are of equal magnitude but in opposite directions.
Conservation of Momentum –
Law of Conservation of Momentum – The sum of momenta of two objects remains same even after collision.
In other words, the sum of momenta of two objects before collision and sum of momenta of two objects after collision are equal.
Mathematical Formulation of Conservation of Momentum:
Suppose that, two objects A and B are moving along a straight line in same direction and the velocity of A is greater than the velocity of B.
Let the initial velocity of A=u1
Let the initial velocity of B= u2
Let the mass of A= m1
Let the mass of B=m2
Let both the objects collide after some time and collision lasts for ‘ t’ second.
Let the velocity of A after collision= v1
Let the velocity of B after collision= v2

We know that, Momentum = Mass x Velocity
Therefore,

Now, we know that Rate of change of momentum = mass X rate of change in velocity

Therefore, rate of change of momentum of A during collision,
Similarly, the rate of change of momentum of B during collision,
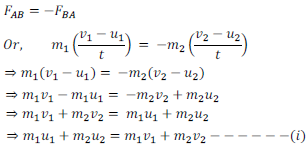
Since, according to the Newton’s Third Law of Motion, action of the object A (force exerted by A) will be equal to reaction of the object B (force exerted by B). But the force exerted in the course of action and reaction is in opposite direction.
Therefore,

Above equation says that total momentum of object A and B before collision is equal to the total momentum of object A and B after collision. This means there is no loss of momentum, i.e. momentum is conserved. This situation is considered assuming there is no external force acting upon the object.
This is the Law of Conservation of Momentum, which states that in a closed system the total momentum is constant.
In the condition of collision, the velocity of the object which is moving faster is decreased and the velocity of the object which is moving slower is increased after collision. The magnitude of loss of momentum of faster object is equal to the magnitude of gain of momentum by slower object after collision.
Conservation of Momentum – Practical Application
- Bullet and Gun – When bullet is fired from a gun, gun recoils in the opposite direction of bullet. The momentum of bullet is equal to momentum of gun. Since, the bullet is has very small mass compared to the gun, hence velocity of bullet is very high compared to the recoil of gun. In the case of firing of bullet, law of conservation of momentum is applied as usual.
- In the collision of atoms, the conservation of momentum is applied.
- In the game of snooker, when a ball is hit by stick, the conservation of momentum is applied.
- When the mouth of an inflated balloon is let open, it starts flying, because of conservation of momentum.
- When a cricket ball is hit by bat, the Law of Conservation of Momentum is applied.
- When the coins of carom board are hit by striker, the Law of Conservation of Momentum is applied.
- Newton’s cradle is one of the best examples of conservation of momentum.
Conservation of Momentum – Numerical Problems
Question:- 1 – Find the recoil velocity of a gun having mass equal to 5 kg, if a bullet of 25gm acquires the velocity of 500m/s after firing from the gun.
Answer:-
Here given,
Mass of bullet (m1) = 25 gm = 0.025 kg
Velocity of bullet before firing (u1) = 0
Velocity of bullet after firing (v1) = 500 m/s
Mass of gun (m2) = 5 kg
Velocity of gun before firing, (u2) = 0
Velocity of gun after firing = ?
We know that,

Thus, recoil velocity of gun is equal to 2.5 m/s. Here negative (- ve) sign shows that gun moves in the opposite direction of bullet.
Question:- 2 – A bullet of 5 gm is fired from a pistol of 1.5 kg. If the recoil velocity of pistol is 1.5 m/s, find the velocity of bullet.
Answer:-
Here we have,
Mass of bullet, m1 = 5 gm = 5/1000 kg = 0.005 kg
Mass of pistol, m2 = 1.5 kg
Recoil velocity of pistol v2 = 1.5 m/s
Velocity of bullet v1 =?
Since, before firing the bullet and pistol are in rest, thus
Initial velocity of bullet, u1 =0
And initial recoil velocity of pistol, u2 =0
We know that,

Thus, velocity of bullet = 450 m/s, here negative sign with velocity of pistol shows that, bullet moves in the opposite direction of pistol.
Question:- 3 – A boy of 50 kg mass is running with a velocity of 2 m/s. He jumps over a stationary cart of 2 kg while running. Find the velocity of cart after jumping of boy.
Answer:
Here given,
Mass (m1) of boy = 50 kg
Initial Velocity (u1) of boy = 2 m/s
Mass (m2) of cart = 2 kg
Initial Velocity (u2) of cart = 0
Final velocity of cart (v2) =?
Since, boy jumped over cart thus, thus the final velocity (v1) of boy will be equal to that of the cart.
Therefore, v1 = v2
We know that,

Therefore, velocity of cart after jumping of boy over it is equal to 1.92 m/s. Since, velocity has positive sign, thus, cart will go in the same direction of boy.
Question: 4 – While playing football match, Kris collided and got entangled with Tom who was playing for opposite team and running from opposite side. The mass of Kris was 40 kg and the mass of Tom was 60 kg. If Tom was running with a velocity of 3m/s and Kris was running with a velocity of 4 m/s, find the velocity and direction of both of the players after collision assuming other forces were negligible.
Answer:
Given,
Mass of Kris (m1) = 40 kg
Initial velocity of Kris (u1) = 4 m/s
Mass of Tom (m2) = 60 kg
Initial velocity of Tom (u2) = 3 m/s
Final velocity and direction of both of the player after collision =?
Let final velocity of both of the players after collision = v
Let Kris was coming from left and Tom was coming from right.
Let the velocity of Kris is positive, therefore velocity of Tom will be negative as both were running in opposite directions.
Thus, initial velocity of Kris (u1) = 4 m/s
And the initial velocity of Tom (u2) = – 3 m/s
We know that,

Thus, velocity of both the player would become – 0.2 m/s. Negative velocity shows that they would go from right to left after collision.
NCERT In Text Solution
Question:- 1 – Which of the following has more inertia:
(a) a rubber ball and a stone of the same size?
(b) a bicycle and a train?
(c) a five rupees coin and a one-rupee coin?
Answer:-
(a) A stone.
(b) A train
(c) A five rupees coin.
Explanation – Inertia is associated with mass. Objects having more mass have more inertia.
Question:- 2 – In the following example, try to identify the number of times the velocity of the ball changes:
“A football player kicks a football to another player of his team who kicks the football towards the goal. The goalkeeper of the opposite team collects the football and kicks it towards a player of his own team”. Also identify the agent supplying the force in each case.
Answer:
The velocity of football changes four times.
First, when a football player kicks to another player, second when that player kicks the football to the goalkeeper. Third when the goalkeeper stops the football. Fourth when the goalkeeper kicks the football towards a player of his own team.
Agent supplying the force –
First case – First player
Second case – Second player
Third case – Goalkeeper
Fourth case – Goalkeeper
Question: 3 – Explain why some of the leaves may get detached from a tree if we vigorously shake its branch.
Answer: The answer of this cause lies behind the Newton’s First Law of Motion. Initially, leaves and tree both are in rest. But when the tree is shaken vigorously, tree comes in motion while leaves have tendency to be in rest. Thus, because of remaining in the position of rest some of the leaves may get detached from a tree if we vigorously shake its branch.
Question: 4 – Why do you fall in the forward direction when a moving bus brakes to a stop and fall backwards when it accelerates from rest?
Answer:
In a moving bus, passengers are in motion along with bus. When brakes are applied to stop a moving bus, bus comes in the position of rest. But because of tendency to be in the motion a person falls in forward direction.
Similarly, when a bus is accelerated from rest, the tendency to be in rest, a person in the bus falls backwards.
Question: 5 – If action is always equal to the reaction, explain how a horse can pull a cart.
Answer: Horse pushes the ground in backward direction. In reaction to this, the horse moves forward and cart moves along with horse in forward direction.
In this case when horse tries to pull the cart in forward direction, cart pulls the horse in backward direction, but because of the unbalanced force applied by the horse, it pulls the cart in forward direction.
Question: 6 – Explain, why is it difficult for a fireman to hold a hose, which ejects large amounts of water at a high velocity.
Answer: When large amount of water is ejected from a hose at a high velocity, according to Newton’s Third Law of Motion, water pushes the hose in backward direction with the same force. Therefore, it is difficult for a fireman to hold a hose in which ejects large amount of water at a high velocity.
Question: 7 – From a rifle of mass 4 kg, a bullet of mass 50 g is fired with an initial velocity of 35 m/s. Calculate the initial recoil velocity of the rifle.
Answer:
Given,
Mass of rifle (m1) = 4 kg
Initial velocity of rifle (u1) = 0
Mass of bullet (m2) = 50 g = 50/1000 kg = 0.05 kg
Initial velocity of bullet (u2) = 0
Final velocity (v2) of bullet = 35 m/s
Final velocity [Recoil velocity] of rifle (v1)=?
We know that,

Here negative sign of velocity of rifle shows that rifle moves in the opposite direction of the movement of bullet. Therefore, recoil velocity of rifle is equal to 0.44 m/s.
Question: 8 – Two objects of masses 100 g and 200 g are moving along the same line and direction with velocities of 2 m/s and 1 m/s, respectively. They collide and after the collision, the first object moves at a velocity of 1.67 m/s. Determine the velocity of the second object.
Answer:
Given,
Mass of first object (m1) = 100 g = 100/1000 kg = 0.1 kg
Initial velocity of first object (u1) = 2 m/s
Final velocity of first object after collision (v1) = 1.67 m/s
Mass of second object (m2) = 200 g = 200/1000 kg = 0.2 kg
Initial velocity of second object (u2) = 1 m/s
Final velocity of second object after collision (v2) =?
We know that,

NCERT Exercise Solution
Question: 1 – An object experiences a net zero external unbalanced force. Is it possible for the object to be travelling with a non-zero velocity? If yes, state the conditions that must be placed on the magnitude and direction of the velocity. If no, provide a reason.
Answer: When a net zero external unbalanced force is applied on the body, it is possible for the object to be travelling with a non-zero velocity. In fact, once an object comes into motion and there is a condition in which its motion is unopposed by any external force; the object will continue to remain in motion. It is necessary that the object moves at a constant velocity and in a particular direction.
Question: 2 – When a carpet is beaten with a stick, dust comes out of it. Explain.
Answer: Beating of a carpet with a stick; makes the carpet come in motion suddenly, while dust particles trapped within the pores of carpet have tendency to remain in rest, and in order to maintain the position of rest they come out of carpet. This happens because of the application of Newton’s First Law of Motion which states that any object remains in its state unless any external force is applied over it.
Question:- 3 – Why is it advised to tie any luggage kept on the roof of a bus with a rope?
Answer:- Luggage kept on the roof of a bus has the tendency to maintain its state of rest when bus is in rest and to maintain the state of motion when bus is in motion according to Newton’s First Law of Motion.
When bus will come in motion from its state of rest, in order to maintain the position of rest, luggage kept over its roof may fall down. Similarly, when a moving bus will come in the state of rest or there is any sudden change in velocity because of applying of brake, luggage may fall down because of its tendency to remain in the state of motion.
This is the cause that it is advised to tie any luggage kept on the roof a bus with a rope so that luggage can be prevented from falling down.
Question: 4 – A batsman hits a cricket ball which then rolls on a level ground. After covering a short distance, the ball comes to rest. The ball slows to a stop because
(a) the batsman did not hit the ball hard enough.
(b) velocity is proportional to the force exerted on the ball.
(c) there is a force on the ball opposing the motion.
(d) there is no unbalanced force on the ball, so the ball would want to come to rest.
Answer: (c) There is a force on the ball opposing the motion.
Explanation: When ball moves on the ground, the force of friction opposes its movement and after some time ball comes to the state of rest.
Question: 5 – A truck starts from rest and rolls down a hill with a constant acceleration. It travels a distance of 400 m in 20 s. Find its acceleration. Find the force acting on it if its mass is 7 tonnes (Hint: 1 tonne = 1000 kg.)
Answer:
Given,
Initial velocity of truck (u) =0 (Since, truck starts from rest)
Distance travelled, s = 400 m
Time (t) = 20 s
Acceleration (a) = ?
We know that,

Force acting upon truck:
Given mass of truck = 7 ton = 7 X 1000 kg = 7000 kg
We know that, force, P = m x a
Therefore, P = 7000 kg x 2 m s – 2
Or, P = 14000 Newton
Thus, Acceleration = 2 m s – 2 and force acting upon truck in the given condition = 14000 N
Question: 6 – A stone of 1 kg is thrown with a velocity of 20 m/s across the frozen surface of a lake and comes to rest after travelling a distance of 50 m. What is the force of friction between the stone and the ice?
Answer:
Given,
Mass of stone = 1 kg
Initial velocity, u = 20 m/s
Final velocity, v = 0 (as stone comes to rest)
Distance covered, s = 50 m
Force of friction =?
We know that,

Now, we know that, force, F = mass x acceleration
Therefore, F = 1 kg X -4ms-2
Or, F = -4ms-2
Thus, force of friction acting upon stone = -4ms-2. Here negative sign shows that force is being applied in the opposite direction of the movement of the stone.
NCERT Exercise Solution – part 2
Question: 7 – A 8000 kg engine pulls a train of 5 wagons, each of 2000 kg, along a horizontal track. If the engine exerts a force of 40000 N and the track offers a friction force of 5000 N, then calculate:
(a) the net accelerating force;
(b) the acceleration of the train; and
(c) the force of wagon 1 on wagon 2.
Answer:-
Given, force of engine = 40000 N
Force of friction = 5000 N
Mass of engine = 8000 kg
Total weight of wagons = 5 x 2000 kg = 10000 kg
(a) The net accelerating force
= Force exerted by engine – Force of fricition
= 40000 N – 5000 N = 35000 N
(b) The acceleration of the train
We know that, F = mass x acceleration
Or, 35000 N = (mass of engine + mass of 5 wagons) X a
Or, 35000 N = (8000 kg + 10000 kg) X a
Or, 35000N = 18000 kg X a

(c) The force of wagon 1 on wagon 2
Since, net accelerating force = 35000 N
Mass of all 5 wagons = 10000 kg
We know that, F = m x a
Therefore, 35000N = 10000 kg x a

Question:- 8 – An automobile vehicle has a mass of 1500 kg. What must be the force between the vehicle and road if the vehicle is to be stopped with a negative acceleration of 1.7 m s-2?
Answer:
Given,
Mass of the vehicle, m = 1500 kg
Acceleration, a = – 1.7 m s -2
Force acting between the vehicle and road, F =?
We know that, F = m x a
Therefore, F = 1500 kg X 1.7 m s-2
Or, F = – 2550 N
Thus, force between vehicle and road = – 2550 N. Negative sign shows that force is acting in the opposite direction of the vehicle.
Question: 9 – What is the momentum of an object of mass m, moving with a velocity v?
(a) (mv)2 (b) mv2 ( c ) Ω mv2 (d) mv
Answer: (d) mv
Explanation:
Given, mass = m, velocity = v, therefore, momentum =?
We know that, momentum, P = mass x velocity
Therefore, P = mv
Thus, option (d) mv is correct
Question: 10 – Using a horizontal force of 200 N, we intend to move a wooden cabinet across a floor at a constant velocity. What is the friction force that will be exerted on the cabinet?
Answer:
Since, a horizontal force of 200N is used to move a wooden cabinet, thus a friction force of 200N will be exerted on the cabinet. Because according to third law of motion, an equal magnitude of force will be applied in the opposite direction.
Question: 11 – Two objects, each of mass 1.5 kg, are moving in the same straight line but in opposite directions. The velocity of each object is 2.5 m s-1 before the collision during which they stick together. What will be the velocity of the combined object after collision?
Answer: Since, two objects of equal mass are moving in opposite direction with equal velocity, therefore, the velocity of the objects after collision during which they stick together will be zero.
Explanation:
Given,
Mass of first object, m1 = 1.5 kg
Mass of second object, m2 = 1.5 kg
Initial velocity of one object, u1 = 2.5 m/s
Initial velocity of second object, u2 = -2.5 m/s (Since second object is moving in opposite direction)
Final velocity of both the objects, which stick after collision, v =?
We know that,

Therefore, final velocity of both the objects after collision will be zero.
Question: 12 – According to the third law of motion when we push on an object, the object pushes back on us with an equal and opposite force. If the object is a massive truck parked along the roadside, it will probably not move. A student justifies this by answering that the two opposite and equal forces cancel each other. Comment on this logic and explain why the truck does not move.
Answer: Because of the huge mass of the truck, the force of static friction is very high. The force applied by the student is unable to overcome the static friction and hence he is unable to move the truck. In this case, the net unbalanced force in either direction is zero which is the reason of no motion happening here. The force applied by the student and the force because of static friction are cancelling out each other. Hence, the rationale given by the student is correct.
Question: 13 – A hockey ball of mass 200 g travelling at 10 m/s is struck by a hockey stick so as to return it along its original path with a velocity at 5 m/s. Calculate the change of momentum occurred in the motion of the hockey ball by the force applied by the hockey stick.
Answer:
Given,
Mass of hockey ball, m = 200 g = 200/1000 kg = 0.2 kg
Initial velocity of hockey ball, u = 10 m/s
Final velocity of hockey ball, v = – 5 m/s (because direction becomes opposite)
Change in momentum =?
We know that,
Momentum = mass x velocity
Therefore, Momentum of ball before getting struck = 0.2 kg x 10 m/s = 2 kg m/s
Momentum of ball after getting struck = 0.2 kg x – 5m/s = – 1 kg m/s
Therefore, change in momentum = momentum before getting struck – momentum after getting struck
= 2 kg m/s – (-1 kg m/s) = 2 kg m/s + 1 kg m/s = 3 kg m/s
Thus, change of momentum of ball after getting struck = 3 kg m/s
NCERT Exercise Solution – part 3
Question:- 14 – A bullet of mass 10 g travelling horizontally with a velocity of 150 m/s strikes a stationary wooden block and comes to rest in 0.03 s. Calculate the distance of penetration of the bullet into the block. Also calculate the magnitude of the force exerted by the wooden block on the bullet.
Answer:
Given,
Mass of bullet, m = 10 g = 10/1000 kg = 0.01 kg
Initial velocity of bullet, u = 150 m/s
Since bullet comes to rest, thus final velocity, v =0
Time, t = 0.03 s
Distance of penetration, i.e. Distance, covered (s)=?
Magnitude of force exerted by wooden block =?
We know that,

Magnitude of force exerted by wooden block
We know that, Force = mass x acceleration
Or, F = 0.01 kg x – 5000 m s-2 = – 50 N
Therefore,
Penetration of bullet in wooden block = 2.25 m
Force exerted by wooden block on bullet = – 50 N. Here negative sign shows that force is exerted in the opposite direction of bullet.
Question: 15 – An object of mass 1 kg travelling in a straight line with a velocity of 10 m/s collides with, and sticks to, a stationary wooden block of mass 5 kg. Then they both move off together in the same straight line. Calculate the total momentum just before the impact and just after the impact. Also, calculate the velocity of the combined object.
Answer:
Given, mass of moving object, m1 = 1 kg
Mass of the wooden block, m2 = 5kg
Initial velocity of object, u1 = 10 m/s
Initial velocity of wooden block, u2 = 0
Final velocity or moving object and wooden block, v =?
Total momentum before collision and after collision =?
We know that,

Thus,
Velocity of both the object after collision = 1.66 m/s
Total momentum before collision = 10 kg m/s
Total momentum after collision = 10 kg m/s
Question: 16 – An object of mass 100 kg is accelerated uniformly from a velocity of 5 m/s to 8 m/s in 6 s. Calculate the initial and final momentum of the object. Also, find the magnitude of the force exerted on the object.
Answer:
Given,
Initial velocity, u = 5 m/s
Final velocity, v = 8 m/s
Mass of the given object, m = 100 kg
Time, t = 6 s
Initial momentum and Final momentum =?
Magnitude of force exerted on the object =?
We know that,
Momentum = mass x velocity
Therefore, initial momentum = mass x initial velocity
= 100 kg X 5 m/s = 500 kg m/s
Final momentum = mass x final velocity
= 100 kg x 8 m/s = 800 kg m/s
We know that,

Now, Force exerted on object = Mass x Acceleration
= 100 kg 0.5 m/s/s
= 50 N
Question: 17 – Akhtar, Kiran and Rahul were riding in a motorcar that was moving with a high velocity on an expressway when an insect hit the windshield and got stuck on the windscreen. Akhtar and Kiran started pondering over the situation. Kiran suggested that the insect suffered a greater change in momentum as compared to the change in momentum of the motorcar (because the change in the velocity of the insect was much more than that of the motorcar). Akhtar said that since the motorcar was moving with a larger velocity, it exerted a larger force on the insect. And as a result the insect died. Rahul while putting an entirely new explanation said that both the motorcar and the insect experienced the same force and a change in their momentum. Comment on these suggestions.
Answer: We know, that as per the Law of Conservation of Momentum; total momentum of a system before collision is equal to the total momentum of the system after collision.
In this case, since the insect experiences a greater change in its velocity so it experiences a greater change in its momentum. From this angle, Kiran’s observation is correct.
Motorcar is moving with a larger velocity and has a bigger mass; as compared to the insect. Moreover, the motorcar continues to move in the same direction even after the collision; which suggests that motorcar experiences minimal change in its momentum, while the insect experiences the maximum change in its momentum. Hence, Akhtar’s observation is also correct.
Rahul’s observation is also correct; because the momentum gained by the insect is equal to the momentum lost by the motorcar. This also happens in accordance to the law of conservation of momentum.
Question: 18 – How much momentum will a dumb-bell of mass 10 kg transfer to the floor if it falls from a height of 80 cm? Take its downward acceleration to be 10 m/s-2.
Answer:
Given,
Mass of dumb-bell = 10 kg
Distance, s = 80 cm = 80/100 = 0.8 m
Acceleration, a = 10 m/s/s
Initial velocity of dumb-bell, u = 0
Momentum =?
We know that,

Now, we know that, momentum = mass x velocity
= 10 kg x 4 m/s = 40 kg m/s
____________________________________________________