Work
When force is exerted on an object and object is displaced, work is said to be done.
Work = Force x Displacement
Or, W = F x s
Where, W is work
‘F’ is force and
‘s’ is displacement.
If force, F = 0
Therefore, work done, W = 0 x s = 0
If displacement, s = 0
Therefore, Work done, W = F x 0 = 0
Thus, there are two conditions for work is considered done –
- Force should act on the object.
- Object must be displaced.
In the absence of any one of the above two conditions, work done will be equal to zero, that is work is not considered as done.
SI unit of work
The SI unit of Force is newton (N) and the SI unit of displacement is meter (m).
Therefore by substituting the SI units of Force and displacement in the expression, W = F x s we get
W = N x m.
Thus, unit force is Nm.
The SI unit of work is joule and is denoted as ‘J’, which is named after an English physicist James Prescott Joule.
The 1 joule of work done is equal to 1N x 1 m.
Or, 1 joule = Nm
Direction of Force – Positive and negative work:
When force is applied in the direction of displacement, the work done is considered as positive.
i.e. W = F x s
When force is applied in opposite direction of displacement, the work done is considered as negative.
i.e. W = – F x s = – Fs
For example, when engine works to accelerate or move the vehicle, the work done is positive. But when brakes are applied to stop a moving vehicle, i.e. work done against the direction of displacement of the vehicle, the work done is considered as negative.
Energy
Energy is the capacity of doing work.
An object which can do more work is said to have more energy and vice versa. For example, a motorcycle has more energy than a bicycle.
SI unit of energy –
Since energy is capacity of doing work, therefore, the SI unit of energy is same as of work.
Thus, the SI unit of energy is joule and is denoted by ‘J’.
Larger unit of energy is kilo joule and is denoted by kJ.
1kJ = 1000 J
Forms of Energy
There are many forms of energy, such as kinetic energy, potential energy, mechanical energy, chemical energy, electrical energy, etc.
Kinetic Energy
Kinetic energy is the energy possessed by an object because of motion. For example, a fast moving pebble can injure a person or break glass pane of window, energy of moving vehicle, a fast moving wind can damage many house, or wind can move blades of wind mill, etc.
Kinetic Energy Possessed by a moving object
Suppose, the mass of a moving object = m
The initial velocity of a moving object = u
The acceleration of the object = a
The final velocity of the object = v
Displacement of object to achieve the final velocity = s.
We know from the equation of motion that,

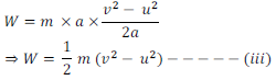
Now, we know that, Work done, W = F x s
Thus, by substituting the value of ‘s’ from equation (i) in the expression W = F x s, we get

Now, according to Newton’s Second Law of motion, Force = mass x acceleration
Or, F = m x a
Therefore, by substituting the value of F in equation (ii) we get,

If the object starts moving from the state of rest, therefore, initial velocity (u) will be equal to zero.
Therefore, equation (iii) can be written as

Equation (iv) shows that work done is equal to the change in kinetic energy of an object.
Therefore, if an object of mass ‘m’ is moving with a constant velocity,

From the above equation it is clear that kinetic energy of a moving object increases with increase of mass and velocity of the object.
Potential Energy
Energy possessed by an object because of its position is called potential energy. For example; when a stone is kept at a height, it possesses some energy because of its height. Because of this potential energy, object kept at a height falls over the ground.
A stretched rubber band possesses some energy because of its position. Because of that energy, when the stretched rubber band is released it acquires its original position by movement. A stretched catapulted possesses potential energy because of its stretched string and is able to do some work.
A stretched bow possesses energy because of its position of stretched string.
Expression for Potential Energy:
Potential energy possessed by an object due to its height
Let and object of mass ‘m’ is placed over a height, h against gravity.
Therefore, the minimum force required to work done, F = mg
Where, ‘F’ is force, ‘m’ is mass and ‘g’ is the acceleration due to gravity.
We know that, work done = Force x displacement
Therefore, Work done, W = F x h
Where, ‘h’ is the displacement of the object. Since, the object is displaced at a height, therefore, ‘h’ is taken at the place of ‘s’.
Or, W = mg h (since, F = mg)
The potential energy (Ep) is equal to the work done over the object
Therefore, Ep = mgh
Where, ‘h’ is height, ‘m’ is mass and ‘g’ is acceleration due to gravitiy.
The potential energy of an object depends upon the mass and height (position) of the object and not upon the path.
Law of Conservation of Energy
According to Law of conservation of energy; energy can neither be created nor be destroyed rather the form of energy can be converted from one form to another form.
Law of conservation of Energy states that the total energy of a system remains unchanged before and after transformation.
Example: – when an object having potential energy is dropped from a height, the potential energy is changed into kinetic energy.
The sum of potential energy and kinetic energy remains constant at every point of the falling of object.

The sum of potential energy and kinetic energy is the total mechanical energy of the object falling from a height.
During free fall of the object, the potential energy starts decreasing and converting into kinetic energy with decrease of height from the ground.
Various Forms of Energies are convertible
One form of energy can be converted into other form.
Example:-
Heat energy is converted into electrical energy in thermal power stations.
Electrical energy is converted using an electric bulb into light energy.
Electrical energy is converted into heat energy using an electric heater.
Chemical energy is converted into electrical energy using an electric cell.
Power
Rate of doing work is called power. For example; a more powerful engine can do more work in less time, such as an aero plane covers more distance in less time than a car consequently aero plane is more powerful than a car.
Since power is the rate of doing work

Where, ‘P’ is power, ‘W’ is work done, and ‘t’ is time taken in work done.
SI unit of power
The SI unit of work done is joule
SI unit of time is second.
Therefore, SI unit of power is equal to joule per second or Js – 1.
The SI unit of power is watt named after James Watt, the inventor of steam engine, and is denoted by ‘W’.
1 W = 1 J s–1
The bigger unit of power is kilo watt and is written as kW.
1 kilowatt = 1000 watt
Or, 1 kW = 1000 W
Or, 1kW = 1000 J s–1
The average power can be calculated after dividing total work done by total time taken.
Commercial Unit of Energy
Since joule is very small thus, large quantity of energy is expressed in kilo watt hour and is written as kWh.
If a machine uses 1000 joule of energy in one second and the machine runs for one hour, then it is said that the machine will consume energy 1kWh.
1 kWh = 1 kW x 1 h
Or, 1kWh = 1000 joule x 3600 s
Or, 1 kWh = 3600000 joule
Or, 1kWh = 3.6 x 106 joule
Electric consumption in households is measured in kWh and generally called unit. Therefore, 1 unit of electricity is equal to 1kWh.
Energy = Power X time
Thus, by knowing any two of three, third can be calculated using the expression Energy = power x time.
If an electric appliance consumes 1000 joule of energy in one second and runs for one hour, it will consume 1unit of electricity, i.e. 1kWh of electricity.